In flow measurement, PT compensation is a crucial issue. PT compensation allows for more accurate flow measurement results.
This article will introduce relevant information about PT compensation. And I hope it will be helpful.
What is PT Compensation?
Temperature and pressure compensation refers to a technique that uses real-time fluid temperature and pressure measurements to correct the flow meter’s raw measurement data to improve flow measurement accuracy.
Temperature and pressure compensation are defined under standard temperature and pressure. However, in actual operating conditions, temperature and pressure are constantly changing. This results in a dynamic density of the measured gas. When the temperature remains constant, the higher the pressure, the greater the gas density. When the pressure remains constant, the higher the temperature, the lower the gas density.
Therefore, in actual measurements, it is necessary to dynamically compensate the flow value based on the temperature and pressure at the measurement point to achieve accurate flow measurement. To achieve accurate flow measurement, it is necessary to input temperature, pressure, and flow signals into the device’s DCS or PLC. The temperature and pressure compensation calculations and logic configuration are completed in the control module. And the final temperature and pressure-compensated standard value is displayed on the host computer.
PT Compensation for Gas:
When measuring gas, the flow meter requires simultaneous temperature and pressure compensation. Gases are generally calculated based on the volumetric flow rate under standard conditions. This is because the volumetric flow rate of a gas changes with changes in temperature or pressure.
Most gases can be approximately considered ideal gases. Their density can be expressed using the corrected ideal gas equation of state. However, the density of some gases, such as water vapor, is not easily expressed using the ideal gas equation of state.
Gases are divided into dry and wet. For wet gases, their density depends not only on temperature and pressure but also on humidity. When the actual operating conditions of the gas are the same as the design conditions, the flow meter’s indication matches the actual value (depending only on the differential pressure).
When the actual operating conditions deviate from the design conditions, the actual flow rate will also vary with changes in temperature and pressure. Therefore, temperature and pressure compensation are essential for gas flow measurement.

PT Compensation for Steam:
Steam can be divided into saturated steam and superheated steam. When water boils under a certain pressure, it gradually vaporizes and becomes steam. The temperature of the steam at this point is called the saturation temperature.
If saturated steam is further heated. And its temperature exceeds the saturation temperature at its current pressure. It becomes superheated steam. This gas has physical properties that differ from those of an ideal gas. So it can only be considered a real gas and cannot be calculated using the temperature and pressure compensation formula derived from the ideal gas equation of state.
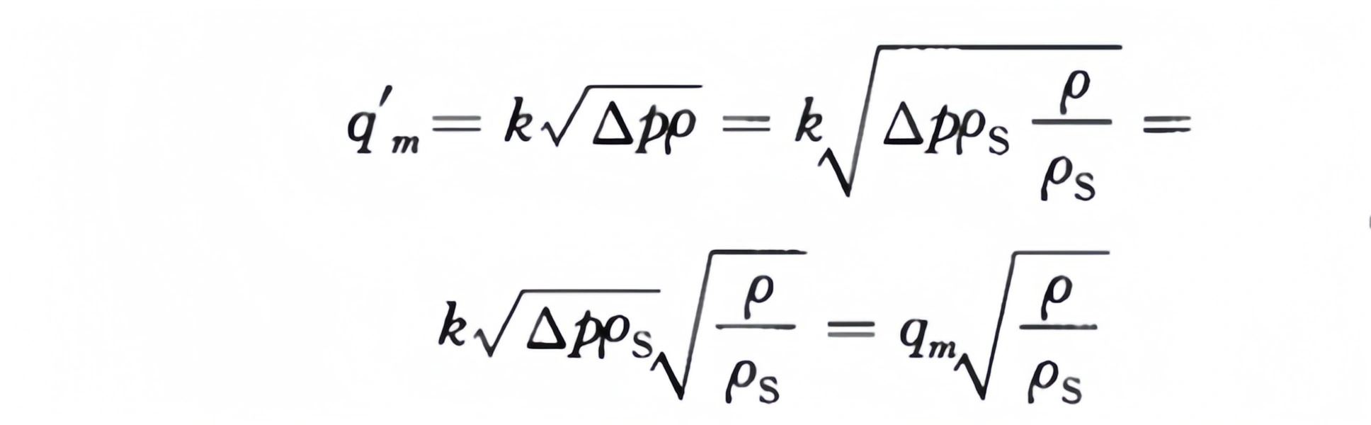
Steam flow rate is generally expressed as mass flow rate. The flow rate formula for differential pressure flow meters shows that density has a significant impact on flow measurement results. Only by correcting the density value can measurement errors be reduced and accuracy improved. The corrected measurement formula is as follows:

Where: q’m is the mass flow rate after compensation, kg/h. q is the mass flow rate before compensation, kg/h.
PT Compensation for Liquids:
When measuring liquids, pressure compensation is generally not required. Below 5 MPa, only temperature effects are considered. Temperature compensation is required for accurate measurement. For general measurements, no compensation is required. Measuring some hydrocarbons (such as crude oil) requires both temperature and pressure compensation.
Which flow meters require temperature and pressure compensation?
Sino-Inst’s years of flow measurement experience have led us to conclude that the following flow meters require temperature and pressure compensation.
Vortex flow meters:
When measuring gas flow, the flow meter must output a standard volume flow rate or mass flow rate. However, vortex flow meters can only measure volume flow rate under operating conditions. Therefore, when using a vortex flow meter to measure general gases or steam, temperature and pressure compensation must be considered. Temperature and pressure compensation can effectively address this issue.
When measuring general gases and steam, vortex flow meters should fully consider temperature and pressure compensation. Temperature and pressure compensation can convert the operating volume flow rate into a mass flow rate or into the standard volume flow rate. When measuring general gases, the compensation principle is calculated according to the following formula. The standard gas state equation is:
P0V0/T0 = P1V1/T1.
Where:
P0 represents the absolute pressure under standard conditions (Pa);
P1 represents the absolute pressure under operating conditions (Pa);
T0 represents the thermodynamic temperature under standard conditions (K);
T1 represents the thermodynamic temperature under operating conditions (K);
V0 represents the gas volume under standard conditions;
V1 represents the gas volume under operating conditions.

Read More about: Learn About Vortex Flow Meter
Differential Pressure Flow meter:
Square root calculations and temperature and pressure compensation are performed on the output of a differential pressure flow meter primarily to address potential errors and deviations in flow measurement. Specifically, these calculations serve the following purposes:
1. Square root calculation:
The output of a differential pressure flow meter is typically a differential pressure value.
ΔP. The actual flow rate, Q, typically requires the pressure difference, ΔP, between the absolute pressure, P, and the static pressure, Pstatic.
Since static pressure, Pstatic, is difficult to measure, the square root calculation converts the differential pressure value, ΔP, into a relative pressure difference: ΔP = (P – Pstatic), allowing for a more accurate calculation of the flow rate, Q.
2. Temperature and pressure compensation:
In practical applications, the density, ρ, of a fluid varies with temperature and pressure. The measurement results of a differential pressure flow meter are related to the gas density.
Thus, without temperature and pressure compensation, flow measurement results will be affected by changes in fluid temperature and pressure. This results in errors. Temperature and pressure compensation allow flow measurement results to be corrected to standard conditions (such as standard atmospheric pressure and room temperature). Thereby improving the accuracy and reliability of flow measurement.
Gas turbine flow meter:
When air enters the flow meter, it first passes through a specially designed rectifier and accelerates. Under the action of the fluid, the turbine overcomes the resistance torque and friction torque and begins to rotate. When the torques reach equilibrium, the turbine speed stabilizes and becomes proportional to the gas flow rate.
The rotating magnet on the transmitter disk periodically changes the magnetic field. It causes the pulse generator to output a pulse signal with a frequency proportional to the flow rate. The microprocessor in the converter counts and calculates the pulse signals to obtain the operating flow rate. It also monitors the temperature and pressure of the medium and converts the operating volume flow rate into a standard volume flow rate using a volume correction model. This is then accumulated to obtain the standard volume total.

Read More about: An Overview of Turbine Flow Meters
Sino-Inst Featured PT Compensation Flow Meter
Standard Flow VS Actual Flow
Actual Flow: Flow rate under actual operating conditions, unit: m/h
Standard Flow: Flow rate at a temperature of 20°C and a pressure of 1 atmosphere (101.325 kPa), unit: Nm³/h
Note: Standard operating conditions generally refer to a temperature of 0°C (273.15 Kelvin) and a pressure of 101.325 kPa (1 standard atmosphere, 760 mmHg). The units for both operating conditions are the same, but the corresponding flow rates are different. Different countries use different standard operating conditions.
Calculation Equation
Based on the ideal gas state equation: pV = nRT.
This equation has four variables: p is the ideal gas pressure, V is the ideal gas volume, n is the amount of gas, and T is the ideal gas thermodynamic temperature; there is also a constant: R is the ideal gas constant. PV/T = nR, which is a constant. Therefore, P1 × V1/T1 = P2 × V2/T2.
Assume the standard flow rate is V0,
Temperature T0 = 273°C + 20°C = 293°C,
Pressure P0 = 101.325 kPa = 0.101325 MPa,
The operating flow rate is V, temperature T (°C), and pressure P (gauge pressure, MPa).
Ignoring changes in compressibility, we have V*(P+0.101325)/(T+273°C) = V0*P0/T0.

What is the flow temperature compensation?
The flow meter's output signal is corrected for changes in fluid temperature. This correction enables the flow meter to provide accurate flow or volume measurements at varying temperatures.
A common temperature compensation method uses a temperature sensor to monitor the fluid temperature in real time. The temperature sensor senses the temperature and uses the relationship between temperature and density to perform temperature correction.The flow meter's output signal is corrected for changes in fluid temperature. This correction enables the flow meter to provide accurate flow or volume measurements at varying temperatures.
A common temperature compensation method uses a temperature sensor to monitor the fluid temperature in real time. The temperature sensor senses the temperature and uses the relationship between temperature and density to perform temperature correction.The flow meter's output signal is corrected for changes in fluid temperature. This correction enables the flow meter to provide accurate flow or volume measurements at varying temperatures.
A common temperature compensation method uses a temperature sensor to monitor the fluid temperature in real time. The temperature sensor senses the temperature and uses the relationship between temperature and density to perform temperature correction.
Why is temperature compensation required?
In electronic components, when other conditions remain unchanged, the output signal will drift with temperature changes.
To minimize this effect, we employ algorithms to correct the output, eliminating the effects of temperature changes on the component's output signal within a certain range. This method is called temperature compensation for electronic components.
What is temperature compensation on a pressure transmitter?
In actual use, the output value of a pressure transmitter can vary due to ambient temperature, causing an offset in the actual output. Therefore, temperature compensation calibration is necessary.
The hardware design of a pressure transmitter incorporates a thermistor or thermocouple. These temperature-sensitive components are closely connected to the pressure sensor and can sense ambient temperature changes in real time.
The temperature-sensitive component is connected to a compensation circuit, which is interconnected with the pressure sensor's output signal processing circuit. When the temperature changes, the change in the temperature-sensitive component's resistance causes a change in the compensation circuit's voltage or current. This change is fed into the signal processing circuit and combined with the original output signal from the pressure sensor.
All in all, the unique properties of gases and steam can lead to inaccurate flow measurement results.
To ensure accurate gas and steam flow measurement, temperature and pressure compensation must be performed on the flow measurement results. Failure to perform this step can affect the entire industrial process control.




