Flow rate is the volume of fluid passing through a specific cross-section of a pipe per unit time. Fluid flow states are primarily categorized as laminar and turbulent.
Laminar flow occurs when the Reynolds number (Re) is less than 2300. At this point, the fluid flows smoothly through the pipe without noticeable disturbances. As the Reynolds number increases, the fluid gradually enters a transitional flow state (2300 < Re < 4000). The flow characteristics are somewhere between laminar and turbulent. As the Reynolds number increases further, > 4000, the fluid enters a turbulent state. Turbulence is complex and unstable.
This article focuses on the relevant issues regarding laminar and turbulent flow in flow measurement. I hope you find this article useful.
What is Laminar Flow?
Laminar flow is a stable state of fluid flow characterized by parallel streamlines. It is a smooth, uninterrupted flow, and a smooth, uninterrupted flow.
Characteristics of laminar flow:
- The fluid flows in an orderly manner, with parallel streamlines;
- The flow velocity is low, with a small velocity gradient;
- The flow dissipates little energy and exerts little resistance on the fluid.
In laminar flow, the velocity distribution along a cross-section perpendicular to the flow direction follows a parabolic pattern. The velocity is highest at the center of the pipe. Near the pipe wall, the velocity gradually decreases, reaching zero. In laminar flow, the pressure decreases linearly along the pipe axis. Vertically, the pressure increases along the pipe wall. In aerodynamics, the characteristics of laminar flow must be considered in airfoil design, ship surface coatings, and high-speed train body design to reduce drag.

What is Turbulent Flow?
Turbulence is an unstable state of fluid flow characterized by turbulence, vortices, and velocity fluctuations.
Turbulent flow is characterized by:
- The fluid flow is disordered and turbulent;
- The velocity is high and the velocity gradient is large;
- The energy dissipated during flow is high, resulting in high resistance to the flow.
In turbulent flow, the velocity distribution along a cross-section perpendicular to the flow direction is uniform. At the center of the pipe, the velocity is similar to that near the pipe wall. In turbulent flow, the pressure decreases linearly along the pipe axis. Vertically, the pressure increases along the pipe wall. At the same time, turbulent flow exhibits pressure fluctuations. In areas such as burner design, chemical reactors, and hydroelectric power plants, we need to consider the characteristics of turbulent flow to improve production efficiency.

Laminar Flow vs. Turbulent Flow
Both gas and liquid flows can be classified as laminar or turbulent. Laminar flow is a stable state of fluid flow characterized by parallel streamlines, smooth flow, and no turbulence. Turbulent flow is an unstable state of fluid flow characterized by turbulence, vortices, and velocity fluctuations.
The primary difference between laminar and turbulent flow is their trajectory. In laminar flow, the fluid moves along parallel streamlines. Momentum is exchanged between adjacent layers solely through molecular thermal motion. The velocity profile is stable. The velocity gradient within the boundary layer is significant. The velocity near the pipe wall is close to zero.
The turbulent state of fluid motion is chaotic, resulting in the formation of multi-scale vortices. Energy is transferred from large-scale vortices to small-scale vortices through vortex breakup. Ultimately, it is dissipated as heat due to viscous effects.
The velocity profile flattens, the boundary layer is thick, and flow separation is likely to occur. Laminar flow and turbulent flow are two essential states of fluid motion. Their differences are reflected in flow structure, energy transfer, and practical applications. As the development of CFD, the simulation and control of complex flow patterns will further enhance the sophistication of industrial production.

Reynolds Number for Laminar and Turbulent Flow
The Reynolds number is a vital feature used to distinguish laminar flow from turbulent flow. The specific numerical values for these classifications were introduced at the beginning of this article. When selecting turbine and vortex flow meters, we should consider the Reynolds number of the fluid. There are formulas for the Reynolds number.
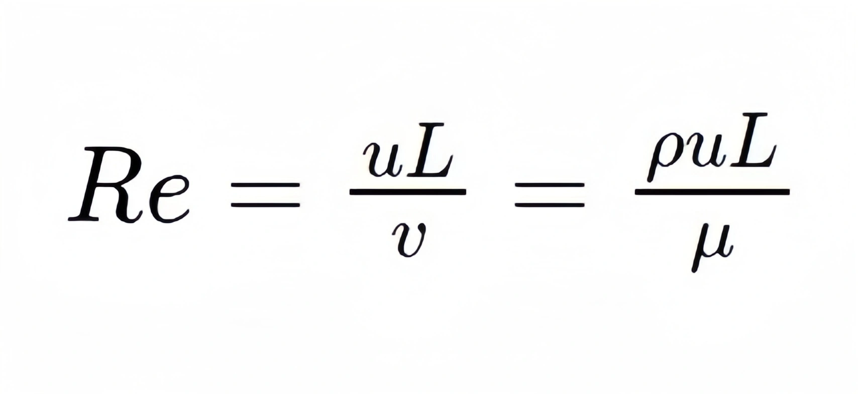
The Reynolds number is used in fluid mechanics to describe the state of fluid motion. British physicist Osborne Reynolds first proposed it.
The Reynolds number is calculated as: Re = ρvL/μ
where
ρ is the fluid density,
v is the fluid velocity,
L is the characteristic length (such as the pipe diameter), and
μ is the fluid’s dynamic viscosity.
The Reynolds number is widely used in various fields. It includes fluid mechanics, aerodynamics, naval architecture, and thermal engineering. By analyzing the Reynolds number, we can predict the flow state and performance of fluids under different operating conditions.
The ratio between internal forces and viscous forces can predict the likelihood of turbulence. The equation for the Reynolds number can be expressed as follows:

ρ = fluid density (kg/m³)
μ = flow velocity (m/s)
L = characteristic dimension or characteristic length, primarily pipe diameter, hydraulic diameter, equivalent diameter, or airfoil chord length (m)
μ = dynamic viscosity of the fluid (Pa·s)
v = kinematic viscosity (m2/s)
Reynolds’ research showed that pipe flows with low Reynolds numbers remain laminar. This is because they lack sufficient energy (in the form of inertial forces) to transform any instabilities in the fluid motion into flow perpendicular to the mean flow direction. As the fluid velocity or density increases relative to the viscosity, turbulence becomes more likely to develop.
Sino-Inst Featured Flow Meter
Laminar and Turbulent Flow in Flow Measurement
The extent to which turbulence affects a flow meter depends on the type of flow meter. If you are using a thermal flow meter based on the “bypass” principle, the main flow passes through the throttling element. While a small portion passes through the sensor. Turbulence can be caused by (excessive) restrictions in devices such as valves or adapters, as well as by the high flow velocity of the medium being used. This effect is called the “turbulence effect.” With each obstruction, the airflow is disrupted and the gas velocity changes. To address turbulence, we need to correctly dimension the pipe installation to ensure turbulence is reduced.
The ratio between the two flow rates is determined by the pressure drop across the sensor and the resistance in laminar flow. Turbulence can disrupt this ratio. Bypass sensor instruments are often used for very precise measurements. And turbulence can significantly affect the results. Thermal flow meters based on the “bypass” principle perform best under laminar flow conditions.
Turbulence can cause errors in flow measurement. Turbulent flow conditions affect different types of flowmeters. Vortex flow meters can disrupt vortex formation when bubbles or impurities are present. It leads to measurement errors. Although electromagnetic flow meters are well adapted to turbulent flow, severe turbulence can still affect their measurement accuracy.

Laminar flow refers to the laminar flow of fluid in a pipe. In this state, the fluid flows without noticeable turbulence or vortices. Laminar flow is not always present. It is often limited to low flow velocities, low fluid viscosities, and narrow channels. Whether designing water or air pipes or evaluating the flow properties of industrial fluids, laminar flow is crucial. Maintaining laminar flow significantly improves overall efficiency in many industrial applications. such as chemical, pharmaceutical, and even transportation.
Calculating Flow in Laminar Flow
a) Flow Formula: Under laminar flow, the volumetric flow rate (Q) of a fluid can be calculated by multiplying the flow velocity (V) by the cross-sectional area of the pipe (A).
That is, Q = V x A.
Read More about: Flow Rate and Pressure Relationship Formula
b) Relationship between Flow Velocity and Pressure Drop: Under laminar flow, the volumetric flow rate of a fluid exhibits a linear relationship with the pressure drop across the pipe (AP). This relationship is based on the Hagen-Poiseuille law, which states that for laminar flow in an incompressible fluid within a circular pipe. The volumetric flow rate is linearly related to the pressure drop, given constant parameters. such as temperature and pipe diameter.
c) Flow Correction: To obtain standard volumetric and mass flow rates, the calculated volumetric flow rate must be corrected for pressure and temperature. Because the density of the fluid is affected by pressure and temperature. These corrections ensure the accuracy of the measurement results.
What Causes Laminar Flow to Become Turbulent?
In actual flow, the transition from laminar to turbulent flow is a gradual process. This process is primarily influenced by the Reynolds number. When the Reynolds number is below the critical Reynolds number, the flow is laminar. When the Reynolds number is above the critical Reynolds number, the flow becomes turbulent. For flow in a circular pipe, the critical Reynolds number is typically taken as 2300. It should be noted that in actual engineering. The critical Reynolds number is affected by many factors. such as flow stability and surface roughness.
The transition from laminar to turbulent flow is influenced by the following factors:
- As the Reynolds number increases, the flow tends to become turbulent;
- External disturbances during flow can affect the transition;
- Greater surface roughness increases the likelihood of turbulence;
- Different fluid properties, such as viscosity and density, can affect the transition.
Does Laminar Flow Have Turbulence?
No
Laminar flow refers to the regular, layered motion of a fluid. Turbulent flow is characterized by the irregular mixing of fluid particles accompanied by violent pulsations.
What are the advantages of laminar flow?
Laminar flow refers to the stable flow of air in parallel layers within a controlled environment. This effectively reduces turbulence and instability, maintains uniform airflow, and thus reduces the risk of contamination.
Laminar flow is widely used in the design of various air and fluid power systems to improve overall efficiency. In cleanrooms, laminar flow ensures air cleanliness and effectively removes contaminants. Laminar flow meets production standards in industries such as semiconductors, biopharmaceuticals, and precision electronics.
In biological safety cabinets, laminar flow helps maintain stable airflow in operating areas. It can prevent the escape of contaminants. In operating rooms, it provides a high-purity environment. It can effectively reduce the risk of postoperative infection.
In short, both laminar flow and turbulent flow are crucial in flow measurement. In actual measurement, we minimize the effects of turbulence through correct pipe sizing. Laminar flow meters can measure low flow rates and high-viscosity fluids.
Sino-Inst has many years of experience in flow measurement. We have extensive experience in flow measurement. If you are experiencing turbulence issues, feel free to contact us. Our professional engineers will help you resolve your issues. We are your free technical advisor.




